Skip to main content











Part 3 : Knowledge Networks
Resource slideshow












Resources
12 resources. Showing results 1 through 12.
Uploaded UploadedFigure 40-'Semiotic' cluster of adverbs and adjectives in part-of-speech network
UploadedFigure 35-Network of words in Johnson’s Dictionary with connections limited to authors that are distinctive of parts of speech.
UploadedFigure 33-The number of quotations from named Shakespeare plays in Johnson’s Dictionary (as identified by Johnson).
UploadedTable 9- Most distinctive authors in the definitions of adverbs
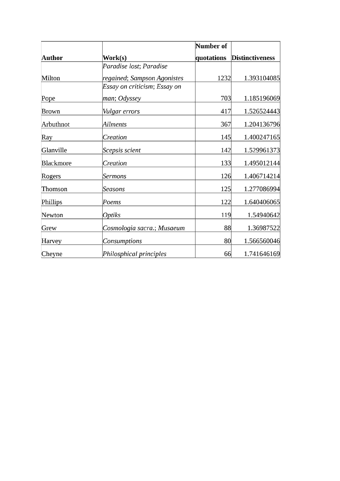
UploadedTable 8- Most distinctive authors in definitions of adjectives
UploadedTable 4-Matrix of overlapping membership in the royal academies
UploadedFigure 31-The renvois network of the Encyclopédie, coloured by community
UploadedFigure 30-Network diagram of French academies and shared members with other European academies.
UploadedFigure 29-Percentage of provincial academy members born and died in academy city (1700-1815).
UploadedFigure 28-Percentage of provincial academy members born and died in Paris (1700-1815).
UploadedFigure 27-Percentage of academy members born and/or died in Paris (1700-1815).
Annotations
No one has annotated a text with this resource collection yet.













